Home Etalon primar Publicatii Etalonări Incertitudini Comparații Prezentări Legaturi utile 

                                                                                                                                                                                                                                     Acest web site a fost optimizat pentru Browser-ul Microsoft Internet Explorer 6.0.

Back Up Next
 
 

 

 
 

   

EVALUAREA INCERTITUDINII DE ETALONARE PRIN METODA PUNCTELOR FIXE A TERMOMETRELOR DIGITALE

 

Sonia GAIȚĂ

  1       INTRODUCERE

 

Etalonarea prin metoda punctelor fixe se aplică termometrelor digitale formate dintr-un aparat indicator și un termometru cu rezistență din platină (TRP). Aparatul indică valoarea temperaturii mediului în care este imersat traductorul, pe baza caracteristicii rezistență electric㠖 temperatură a acestuia, stabilită prin etalonare.

Metoda de etalonare a termometrelor digitale la punctele fixe de definiție ale SIT-90 constă în măsurarea rezistenței electrice a TRP, indicată de termometrul digital la temperatura punctului fix, și determinarea coeficienților din relația de interpolare specificată în SIT-90 pentru domeniul respectiv de etalonare. Coeficienții sunt specifici fiecărui TRP și servesc la interpolarea între valorile punctelor fixe.

Etalonarea începe cu punctul fix având temperatura cea mai ridicată și continuă cu celelalte puncte fixe specificate pentru domeniul respectiv, în ordine descrescătoare a temperaturii tranziției de fază. La fiecare temperatură se efectuează cel puțin câte două tranziții de fază diferite.

Valoarea rezistenței electrice a TRP la temperatura fiecărui punct fix, RPF, se determină din cel puțin 6 măsurări efectuate pe durata palierului de topire sau de solidificare.

Rezultatele obținute la etalonare se prelucrează în felul următor:

    ●   se calculează valoarea rezistenței electrice a TRP la temperatura fiecărui punct fix, RPF, prin medierea celor 6 măsurări efectuate pe durata palierului de topire sau de solidificare;

    ●   se calculează valoarea raportului WPF dintre rezistența electrică determinată la temperatura punctului fix (PF), RPF, și rezistența electrică, R0,01, măsurată la punctul triplu al apei, imediat după încheierea măsurărilor la PF;

    ●   se calculează valoarea medie, WPF, med , a rapoartelor obținute din cele 2 serii de măsurări;

    ●   se determină coeficienții funcțiilor abatere specificate în SIT-90 pentru domeniul respectiv de temperatură

Rezultatele finale împreună cu incertitudinile asociate sunt prezentate într-un certificat de etalonare care va conține obligatoriu :  

■        valorile medii  WPF,med la temperatura punctelor fixe la care se efectuează etalonarea;

■        valorile coeficienților funcțiilor abatere. 

 

2       MODELAREA MĂSURĂRII

 

 Mărimea care interesează la etalonarea unui termometru digital prin metoda punctelor fixe este raportul WPF dintre rezistența electrică RPF măsurată la temperatura unui punct fix, PF, altul decât punctul triplu al apei, și rezistența electrică R0,01 măsurată la temperatura punctului triplu al apei (0,01 ºC).

 Astfel, funcția de modelare este:

 WPF = RPF /R0,01                                                                                       (1)

unde

RPF               rezistența determinată la temperatura punctului fix respectiv;

R0,01              rezistența determinată la temperatura punctului triplu al apei:

  

RPF = PF  + δRPF/i + δRPF/h + δRPF/f + δRPF/p + δRPF/r + δRPF/m + δRPF/l + δRPF/t                               (2)

 

R0,01  =  0,01 + δR0,01/i + δR0,01/h + δR0,01/f + δR0,01/r + + δR0,01/v + δR0,01/m + δR0,01/l + δR0,01/t                  (3)

 

PF             rezistența indicată de termometrul digital la punctul fix respectiv;

δRPF/i          corecția abaterii temperaturii de solidificare/topire datorată impurităților chimice din substanța de punct fix;

δRPF/h         corecția variației temperaturii de solidificare/topire datorată presiunii hidrostatice;

δRPF/f            corecția fluxurilor de căldură parazite;

δRPF/p           corecția variației temperaturii de solidificare/topire datorată abaterii presiunii gazului din celulă de la valoarea de referință;

δRPF/r            corecția de rezistență datorată rezoluției finite a aparatului indicator;

δRPF/m         corecția influenței temperaturii mediului ambiant asupra indicațiilor termometrului digital;

δRPF/l          corecția neliniarității termometrului digital;

δRPF/t          corecția influenței tensiunilor parazite și a rezistențelor de contact din circuitul de măsurare;

R0,01’            rezistența indicată de termometrul digital la punctul triplu al apei;

δR0,01/i         corecția abaterii temperaturii punctului triplu datorată impurităților chimice și compoziției izotopice;

δR0,01/h        corecția variației temperaturii punctului triplu datorată presiunii hidrostatice;

δR0,01/f          corecția fluxurilor de căldură parazite;

δR0,01/r        corecția de rezistență datorată rezoluției finite a aparatului indicator;

δR0,01/v         corecția variației rezistenței măsurate la punctul triplu al apei înainte și după punctul fix respectiv;

δR0,01/m      corecția influenței temperaturii mediului ambiant asupra indicațiilor termometrului digital;

δR0,01/l        corecția neliniarității termometrului digital;

δR0,01/t       corecția influenței tensiunilor parazite și a rezistențelor de contact din circuitul de măsurare

                                                                     

3       CONTRIBUȚIILE INCERTITUDINII

 

 Rezistența electrică indicată de termometrul digital la punctul fix, R’PF

Întrucât rezistența electrică R’PF se determină dintr-o serie de cel puțin n = 6 observații repetate și independente statistic obținute în cursul palierului de solidificare/topire, avem de-a face cu o evaluare de tip A. Estimația mărimii de intrare este x1 = R’PF, med, media aritmetică a celor n = 6 observații, iar incertitudinea standard asociată cu x1 este abaterea standard experimentală a mediei, u(x1) = s(R’PF, med). Distribuția de probabilitate este o distribuție normală. Coeficientul de sensibilitate este c1 = ∂WPF/∂R’PF = 1/ (R0,01’ + δR0,01/i + δR0,01/h + δR0,01/f  + δR0,01/r + δR0,01/v + δR0,01/m + δR0,01/l + δR0,01/t). Ca urmare, contribuția la incertitudinea standard compusă uc(WPF) a incertitudinii standard u(x1) este: u1(WPF) = c1 s(R’PF, med).

Corecția abaterii temperaturii de solidificare/topire de la valoarea punctului fix datorată impurităților chimice din substanța de punct fix, δRPF/i

Influența impurităților chimice din substanța de punct fix asupra temperaturii punctului Temperatura de solidificare/topire se determină cu un termometru cu rezistență din platină, component al etalonului național. Estimația corecției abaterii este {x2}Ω iar incertitudinea standard asociată acestei corecții este {u(x2)}Ω, determinată pentru o distribuție normală. Coeficientul de sensibilitate este c2 = ∂WPF/∂δRPF/a = c1. Ca urmare, contribuția la incertitudinea standard compusă a lui {u(x2)}Ω este: u2(WPF) = c1 {u(x2)}Ω.

Corecția variației temperaturii de solidificare datorată presiunii hidrostatice, δRPF/h

La o adâncime de h metri sub suprafața metalului lichid, temperatura de echilibru t90 la interfața solid/lichid este dată de t90 = A + Bh, unde A este valoarea temperaturii punctului fix respectiv iar B este coeficientul de variație a temperaturii cu adâncimea de imersie h (Tabelul 2 din SIT-90). Estimația lui  δRPF/h  este {x3}Ω cu incertitudinea standard asociată {u(x3)}Ω . Coeficientul de sensibilitate este c3 = ∂WPF/∂δRPF/h = c1. Ca urmare, contribuția la incertitudinea standard compusă a lui {u(x3)}Ω este: u3(WPF) = c{u(x3)}Ω.

Corecția fluxurilor de căldură parazite, δRPF/f

Pentru a se estima incertitudinea datorată fluxurilor de căldură parazite, se studiază variația temperaturii cu adâncimea de imersie a TRP în tubul celulei. Valoarea obținută este prea grosieră pentru a fi folosită ca o corecție, însă poate fi utilizată la evaluarea incertitudinii asociate acesteia. Estimația lui δRPF/f este x4 = 0 Ω în limitele a ± a4 /2, unde a4 este variația maximă a temperaturii obținută la o deplasare pe verticală a TRP în tubul celulei, din 1 cm în 1 cm, pe o distanță egală cu lungimea elementului sensibil. Incertitudinea standard de tip B a acestei distribuții dreptunghiulare este u(x4) = a4 /(2√3). Coeficientul de sensibilitate este c4 = ∂WPF/∂ δRPF/f. = c1. Ca urmare, contribuția la incertitudinea standard compusă a lui u(x4) este: u4(WPF) = cu(x4 ).

Corecția variației temperaturii de solidificare datorată abaterii presiunii gazului din celulă de la valoarea de referință, δRPF/p            

Celulele pentru materializarea punctelor de solidificare/topire sunt închise etanș, presiunea gazului din celulă fiind egală cu 101 325 Pa. Incertitudinea presiunii de umplere este convertită într-o incertitudine a temperaturii prin coeficientul de temperatură dt/dp (Tabelul 2 din SIT-90). Estimația lui δRPF/p este x5= 0 Ω iar incertitudinea standard asociată este u(x5). Coeficientul de sensibilitate este c5 =  ∂WPF/∂ δRPF/p = c1. Ca urmare, contribuția la incertitudinea standard compusă a lui u(x5) este: u5(WPF) = c1 u(x5).

Corecția de rezistență datorată rezoluției finite a aparatului indicator, δRPF/r 

Estimația acestei corecții este x6 = 0 Ω în limitele a ± a6 /2, unde a6 este rezoluția termometrului digital. Incertitudinea standard de tip B a acestei distribuții dreptunghiulare este u(x6) = a6 /(2√3).  Coeficientul de sensibilitate este c6 = ∂WPF/∂ δRPF/r = c1. Ca urmare, contribuția la uc(WPF) a incertitudinii standard u(x6) va fi:  u6(WPF) = c1 u(x6 ).

Corecția influenței temperaturii mediului ambiant asupra indicațiilor termometrului digital, δRPF/m

Dacă termometrul digital este utilizat la o temperatură a mediului ambiant din afara domeniului recomandat, influența temperaturii mediului ambiant asupra indicațiilor termometrului digital se estimează pe baza specificațiilor producătorului. În general, această influență este exprimată prin indicarea valorii unui coeficient de temperatură al rezistenței, {α}ºC-1. Astfel, pentru o temperatură a mediului ambiant care diferă cu {n}ºC de una din limitele domeniului recomandat, estimația corecției este x7 = 0 Ω în limitele a ± {n}ºC {α}ºC-1/2. Incertitudinea standard de tip B a acestei distribuții dreptunghiulare va fi u(x7) = = {n}ºC {α}ºC-1 /(2√3). Coeficientul de sensibilitate este c7 = ∂WPF/∂ δRPF/m = c1. Ca urmare, contribuția la uc(WPF) a incertitudinii standard u(x7) va fi:  u7(WPF) = c1 {n}ºC {α}ºC-1 /(2√3).

Corecția neliniarității termometrului digital, δRPF/l

Influența neliniarității termometrului digital asupra rezistenței indicate se estimează pe baza specificațiilor producătorului. În general, neliniaritatea este indicată sub următoarea formă: a8 = ± (β % din valoarea indicată + δ % din domeniu). Estimația acestei corecții este x8 = 0 Ω în limitele a ± a8/2. Incertitudinea standard de tip B a acestei distribuții dreptunghiulare va fi u(x8) = a8/(2√3). Coeficientul de sensibilitate este c8 = ∂WPF/∂ δRPF/l = c1. Ca urmare, contribuția la uc(WPF) a incertitudinii standard u(x8) va fi:  u8(WPF) = c1 a8/(2√3).  

Corecția influenței tensiunilor parazite și a rezistențelor de contact din circuitul de măsurare, δRPF/t

Influența tensiunilor parazite și a rezistențelor de contact din circuitul de măsurare se estimează pe baza specificațiilor producătorului, ca fiind în limitele a ± a9/2. Estimația acestei corecții este x9 = 0 Ω. Incertitudinea standard de tip B a acestei distribuții dreptunghiulare va fi u(x9) = = a9/(2√3).  Coeficientul de sensibilitate este c9 = ∂WPF/∂ δRPF/t = c1. Ca urmare, contribuția la uc(WPF) a incertitudinii standard u(x9) va fi:  u9(WPF) = c1 u(x9).

Rezistența indicată de termometrul digital la punctul triplu al apei, R0,01’

Întrucât rezistența electrică se determină dintr-o serie de cel puțin n = 3 observații repetate și independente statistic obținute la punctul triplu al apei, efectuate în aceleași condiții de măsurare, avem de-a face cu o evaluare de tip A. În această situație, estimația mărimii de intrare este x10 = R’0,01,med, media aritmetică a celor n = 3 observații, iar incertitudinea standard asociată cu x10 este abaterea standard experimentală a mediei, u(x10) = s(R’0,01, med). În acest caz, distribuția de probabilitate este o distribuție normală. Coeficientul de sensibilitate este c10 = ∂WPF/∂R’0,01 = - (RPF’ + δRPF/a + δRPF/h + δRPF/f + δRPF/p + δRPF/r  + δRPF/d  + δRPF/m + δRPF/l  + δRPF/t) / (R0,01’ + δR0,01/a + δR0,01/h + δR0,01/f  + δR0,01/r + δR0,01/d + δR0,01/v + δR0,01/m + δR0,01/l + δR0,01/t)2 = - WPF/(R0,01’ + δR0,01/a + δR0,01/h + δR0,01/f  + δR0,01/r + δR0,01/d + δR0,01/v + δR0,01/m + δR0,01/l + δR0,01/t). Ca urmare, contribuția la incertitudinea standard compusă uc(WPF) a incertitudinii standard u(x10) este: u10(WPF) = c10 s(R’0,01, med).

Corecția abaterii temperaturii punctului triplu de la valoarea punctului fix datorată impurităților chimice și izotopilor,  δR0,01/i

Evaluarea acestei componente se face în mod similar cu evaluarea la PF. Estimația corecției δR0,01/i este {x11}Ω, iar  incertitudinea standard asociată este  {u(x12)}Ω. Coeficientul de sensibilitate este c11 = ∂WPF/∂R’0,01 = c10. Ca urmare, contribuția la incertitudinea standard compusă a lui u(x11) este: u11 (WPF) = c10  {u(x12)}Ω.

Corecția variației temperaturii punctului triplu datorată presiunii hidrostatice, δR0,01/h

Evaluarea acestei componente se face în mod similar cu evaluarea la PF, temperatura de echilibru t90 la interfața solid/lichid fiind dată de dată de t90 = -0,73 x 10-3 {h}m K m-1. Estimația lui δR0,01/h  este {x12}Ω , cu incertitudinea standard asociată {u(x12)}Ω. Coeficientul de sensibilitate este c12 = ∂WPF/∂δR0,01/h = c10. Ca urmare, contribuția la incertitudinea standard compusă a lui {u(x12)}Ω este: u12(WPF) = c10  {u(x12)}Ω .

Corecția fluxurilor de căldură parazite, δR0,01/f

Pentru a se estima incertitudinea datorată fluxurilor de căldură parazite, se studiază variația temperaturii cu adâncimea de imersie a TRP în tubul celulei. Valoarea obținută este prea grosieră pentru a fi folosită ca o corecție, însă poate fi utilizată la evaluarea incertitudinii asociate acesteia. Estimația lui δR0,01/f  este x13 = 0 Ω în limitele a ± a13 /2, unde a13 este variația maximă a temperaturii obținută la o deplasare pe verticală a TRP în tubul celulei, din 1 cm în 1 cm, pe o distanță egală cu lungimea elementului sensibil. Incertitudinea standard de tip B a acestei distribuții dreptunghiulare este u(x13) =         a13 /(2√3). Coeficientul de sensibilitate este c13 = ∂WPF/∂ δR0,01/f. = c10. Ca urmare, contribuția la incertitudinea standard compusă a lui u(x13) este: u13(WPF) = c10  a13 /(2√3).

Corecția rezistenței datorată rezoluției finite a aparatului indicator, δR0,01/r    

Estimația acestei corecții este x14 = 0 Ω în limitele a ± a14 /2, unde a14  este rezoluția termometrului digital. Incertitudinea standard de tip B a acestei distribuții dreptunghiulare este u(x14) = a14 /(2√3).  Coeficientul de sensibilitate este c14 =       ∂WPF/∂ δRPF/r = c10. Ca urmare, contribuția la uc(WPF) a incertitudinii standard u(x14) va fi:  u14(WPF) = c10 a14 /(2√3).  

Corecția variației rezistenței măsurate la punctul triplu al apei înainte și după punctul fix PF, δR0,01/v

Deoarece variația rezistenței măsurate la punctul triplu al apei înainte și după punctul fix respectiv este a15, s-a estimat că x15 = 0 Ω, incertitudinea standard de tip B a acestei distribuții dreptunghiulare fiind u(x15) = a15 /(2√3). Coeficientul de sensibilitate este c15 =  ∂WPF/∂ δR0,01/v = c10. Ca urmare, contribuția la uc(WPF) a incertitudinii standard u(x15) va fi:  u15(WPF) = c11 a15 /(2√3).

Corecția influenței temperaturii mediului ambiant asupra indicațiilor termometrului digital, δR0,01/m

Dacă termometrul digital este utilizat la o temperatură a mediului ambiant din afara domeniului recomandat, influența temperaturii mediului ambiant asupra indicațiilor termometrului digital se estimează pe baza specificațiilor producătorului. În general, această influență este exprimată prin indicarea valorii unui coeficient de temperatură al rezistenței, {α}ºC-1. Astfel, pentru o temperatură a mediului ambiant care diferă cu {n}ºC de una din limitele domeniului recomandat, estimația corecției este  x16 = 0 Ω în limitele a ± {n}ºC {α}ºC-1/2. Incertitudinea standard de tip B a acestei distribuții dreptunghiulare va fi u(x16) = {n}ºC {α}ºC-1 /(2√3). Coeficientul de sensibilitate este c16 = ∂WPF/∂ δR0,01/m = c10. Ca urmare, contribuția la uc(WPF) a incertitudinii standard u(x16) va fi:  u16(WPF) = c11 {n}ºC {α}ºC-1/(2√3).

Corecția neliniarității termometrului digital, δR0,01/l

Influența neliniarității termometrului digital asupra rezistenței indicate se estimează pe baza specificațiilor producătorului. În general, neliniaritatea este indicată sub următoarea formă: a17 = ± (β % din valoarea indicată + δ % din domeniu). Estimația acestei corecții este x17 = 0 Ω în limitele a ± a17/2. Incertitudinea standard de tip B a acestei distribuții dreptunghiulare va fi u(x19) = a17 /(2√3).  Coeficientul de sensibilitate este c17 = ∂WPF/∂ δRPF/l = c10. Ca urmare, contribuția la uc(WPF) a incertitudinii standard u(x17) va fi:  u17(WPF) = c11 a17 /(2√3).  

Corecția influenței tensiunilor parazite și a rezistențelor de contact din circuitul de măsurare, δR0,01/t

Influența tensiunilor parazite și a rezistențelor de contact din circuitul de măsurare se estimează pe baza specificațiilor producătorului, ca fiind în limitele a ± a18/2. Estimația acestei corecții este x18 = 0 Ω. Incertitudinea standard de tip B a acestei distribuții dreptunghiulare va fi u(x18) = = a18/(2√3).  Coeficientul de sensibilitate este c18 =    ∂WPF/∂ δRPF/t = c10. Ca urmare, contribuția la uc(WPF) a incertitudinii standard u(x18) va fi:  u18(WPF) = c10a18/(2√3).  

Dispersia valorilor raportului WPF, sWPF

Se calculează abaterea standard experimentală a mediei celor minimum n = 2 valori ale raportului WPF  determinate în cursul etalonării termometrului digital.

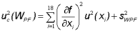
Presupunând că toate mărimile de intrare sunt necorelate, incertitudinea standard compusã asociatã cu WPF, uc(WPF), se determinã folosind legea de propagare a incertitudinilor pentru mãrimi de intrare necorelate, care devine:       

                                                          (4)

 

unde x1, x2,…, x18 sunt estimațiile de intrare și f este funcția de modelare (1), cu forma sa analiticã datã de ecuațiile (2) și (3).

 

4       BILANȚUL INCERTITUDINII 

 

Mărimea

               Xi

Estimația

                 xi

Incertitudinea standard

 u(xi)

Distribuția de probabilitate

Coeficientul de sensibilitate

ci

Contribuția la incertitudinea standard compusă

ui(y)= ci  u(xi)

PF

PF, med

s(R’PF, med)

normală

c1

c1  s(R’PF, med)

δRPF/i

{x2}Ω

{u(x2)}Ω

normală

c1

c1  {u(x2)}Ω

δRPF/h

{x3}Ω

{u(x3)}Ω

dreptunghiulară

c1

c1  {u(x3)}Ω

δRPF/f

0 Ω

a4 /(2√3)

dreptunghiulară

c1

c1  a4 /(2√3)

δRPF/p

0 Ω

u(x5)

dreptunghiulară

c1

c1  u(x5)

δRPF/r

0 Ω

a6 /(2√3)

dreptunghiulară

c1

c1  a6 /(2√3)

δRPF/m

0 Ω

{n}ºC {α}ºC-1/(2√3)

dreptunghiulară

c1

c1  {n}ºC {α}ºC-1/(2√3)

δRPF/l

0 Ω

a8/(2√3)

dreptunghiulară

c1

c1  a8 /(2√3)

δRPF/t

0 Ω

a9/(2√3)

dreptunghiulară

c1

c1  a9 /(2√3)

R’0,01

R’0,01,med

 s(R’0,01, med)

normală

c10

c10  s(R’0,01, med)

δR0,01/a

{x11}Ω

{u(x11)}Ω

normală

c10

c10  {u(x11)}Ω

δR0,01/h

{x12}Ω

{u(x12)}Ω

dreptunghiulară

c10

c10  {u(x12)}Ω

δR0,01/f

0 Ω

a13 /(2√3)

dreptunghiulară

c10

  c10  a13 /(2√3)

δR0,01/r

0 Ω

a14 /(2√3)

dreptunghiulară

c10

c10  a14 /(2√3)  

δR0,01/v

0 Ω

a15 /(2√3)

dreptunghiulară

c10

c10  a15 /(2√3)

δR0,01/m

0 Ω

{n}ºC {α}ºC-1/(2√3)

dreptunghiulară

c10

c10 {n}ºC {α}ºC-1/(2√3)

δR0,01/l

0 Ω

a17 /(2√3)

dreptunghiulară

c10

  c10 a17 /(2√3)

δR0,01/t

0 Ω

a18/(2√3)

dreptunghiulară

c10

c10  a18/(2√3)

 

 

sWPF

normală

 

sWPF

WPF

 

 

 

 

uc(WPF)

  

 

octombrie 2003

       Back Up Next

       © 2007 Sonia Gaita